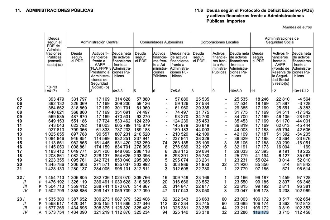
La deuda de la Seguridad Social escala hasta el récord absoluto de 116.173 millones en 2023
El 'agujero' del sistema de pensiones creció en 10.000 millones en noviembre, por la paga extra
La Seguridad Social sube su déficit 2.315 millones en 2023: la única Administración que empeora
Cara B de las pensiones: 2,14 millones de personas cobran pagas mínimas de 600-1.000 euros al mes
El saldo de deuda de la Seguridad Social aumentó el 9,4% el año pasado, hasta situarse en la cifra récord de 116.173 millones de euros al cierre de diciembre de 2023, tal como certifican las últimas estadísticas oficiales, publicadas este miércoles por el Banco de España. El agujero del sistema de pensiones se agranda así, hasta suponer el 7,9% del Producto Interior Bruto (PIB).
A este abultado endeudamiento se ha llegado tras crecer con fuerza en los dos meses finales de 2023, debido fundamentalmente al abono de la paga extraordinaria de Navidad. Los datos del Banco de España constatan el fuerte peso de la deuda, y muestran la gran velocidad a la que aumenta el agujero del sistema de pensiones, puesto que la deuda del organismo ha crecido cerca de un 10% en un solo año.
Según detalla el supervisor, los números rojos de la Seguridad Social se deben a "los préstamos concedidos por el Estado a la Tesorería General del organismo para financiar su desequilibrio presupuestario". Otro factor que tira al alza del endeudamiento es la revalorización de pensiones con el IPC, mediante la cual, los más de 10 millones de pensionistas de la Seguridad Social ven aumentadas cada año sus pagas en función de la inflación media anual.
Este sistema de revalorización desencadena un mayor ritmo de incremento del gasto para sufragar las prestaciones contributivas, según alertan organismos como el propio Banco de España, la AIREF o FEDEA.

Deuda inaudita en comparación con hace 7 años
En diciembre de 2024 se cumplieron 14 meses consecutivos con la deuda de la Seguridad Social por encima de la cota de los 100.000 millones de euros, que se rebasó por primera vez en noviembre de 2022, al anotar 106.176 millones, aunque la realidad es que los números rojos llevaban rozando ese nivel desde diciembre de 2021 (ese año se cerró con un agujero de 97.185 millones).
En diciembre de 2022, la escalada de la deuda prosiguió con un ligero aumento, para bajar ligeramente en enero de 2023, hasta quedar en 106.170 millones. Un mes después, febrero de 2023, el endeudamiento descendió en apenas un millón, hasta 106.169 millones, volvió a retomar la senda de los aumentos (dos millones) en marzo, y así fue oscilando durante todo 2023, millón arriba o abajo, hasta llegar al fuerte disparo experimentado en noviembre pasado, cuando creció de una tacada 10.000 millones en un solo mes.
El volumen de deuda inquieta, por una parte, por tratarse de unos niveles de endeudamiento inauditos, si se compara con hace tan solo siete años, cuando los números rojos del sistema de pensiones suponían únicamente 17.173 millones, según el dato de cierre de 2016.
Otro factor que añade preocupación a la marcha de la deuda es que España está a las puertas de la jubilación de la generación del baby boom, que provocará un fuerte incremento del gasto para pagar las pensiones en las décadas de los años 30 y 40.
El 'agujero' de las AAPP sube el 4,7% en el año
La deuda conjunta de las Administraciones Públicas (AAPP) según el Protocolo de Déficit Excesivo (PDE), que se envía a la Comisión Europea en el ámbito de la notificación PDE de primavera, alcanzó a finales de diciembre de 2023 los 1,57 billones de euros, tras experimentar un crecimiento del 4,7% en términos interanuales (en relación con diciembre de 2022).
Utilizando el PIB nominal de 2023, la ratio de deuda sobre Producto Interior Bruto, esta se situó en el 107,7% del PIB en el cuarto trimestre de 2023, lo que significa cuatro puntos porcentuales menos que a finales de 2022.

Si se desglosa la deuda por administraciones, la Administración Central la elevó a 1,43 billones de euros en diciembre de 2023, lo que representa el 98,1% del PIB. El crecimiento, en términos interanuales, de la deuda de este subsector en el cuarto trimestre fue del 5,5%.
Por lo que respecta a las administraciones territoriales, la deuda de las Comunidades Autónomas (CCAA) creció hasta los 325.000 millones de euros en diciembre de 2023, un 22,2% del PIB, con un aumento interanual del 2,6%.
Y el endeudamiento de las corporaciones locales se situó en 23.000 millones de euros al cierre del pasado año, lo que representa un 1,6% del PIB y supone un 1,2% más que el saldo registrado un año antes.
