Pensiones no contributivas I Otro verano de penuria: cobran 800 euros de media contando la extra
Hay 450.767 pensiones no contributivas, el 21% de ellas en Andalucía, según el Imserso
Pensión no contributiva: la ayuda al alquiler, congelada en 525 euros desde hace una década
El Gobierno deja a las autonomías la subida de pensiones no contributivas este año
Pensiones no contributivas: hay cuatro autonomías donde la paga no llega a 400 euros mensuales
Pensión no contributiva: hasta 6,3 meses para tramitar la de jubilación y 9,2 meses la de invalidez
El verano de 2020 va a ser excepcional en muchos sentidos, pero para los pensionistas no contributivos algo no cambiará: la penuria de ingresar 800 euros de media en junio, contando la paga del mes corriente y la extra de verano; es decir, aun recibiendo dos nóminas, no llegan ni al Salario Mínimo Interprofesional (SMI), estipulado en 950 euros en la actualidad.
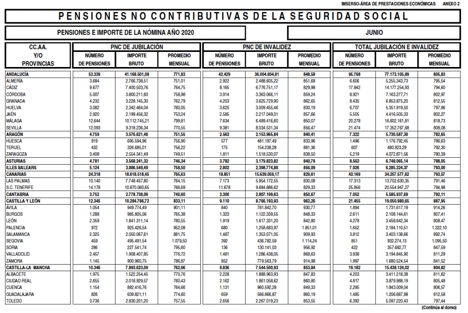
En España existen 450.767 pensiones no contributivas sufragadas con recursos públicos, con un coste mensual aproximado de 180 millones de euros, aunque en junio la nómina desembolsada por el Estado ha sido de 360,16 millones, debido a que ese mes se abonan la paga habitual y la extra, tal y como refleja el Imserso (@Imserso) en su informe Pensiones no contributivas de Jubilación e Invalidez (PNC) correspondiente a junio. Estas pensiones las gestiona el Imserso, se financian con cargo al Presupuesto del Estado y su administración corresponde a las comunidades autónomas. Son prestaciones que reciben las personas que no cumplen los requisitos para cobrar una pensión contributiva de la Seguridad Social (@info_TGSS), por no haber cotizado el periodo mínimo exigido de 15 años.

Las pensiones no contributivas pueden ser tanto de jubilación como de invalidez. En cuanto a su importe, de enero a junio, los jubilados no contributivos cobran 386,23 euros al mes de media, mientras que los pensionistas de invalidez perciben una paga algo mayor, de 426,91 euros, lo que arroja un promedio de 406,6 euros para el conjunto de los pensionistas no contributivos

Fuente: Imserso
Es decir, los beneficiarios no contributivos cobran bastante menos que los contributivos (para ello, estos últimos han cotizado durante su vida laboral), aunque tienen la consideración de pensionistas a todos los efectos, con asistencia médico-farmacéutica gratuita y derecho a los servicios sociales complementarios.
La penuria varía según las comunidades autónomas
Consulta PDF a tamaño completo. Pensiones no contributivas por CCAA

Según las estadísticas del Imserso, la paga que han recibido los pensionistas no contributivos en junio, contando la del mes corriente y la extra de verano, no llega ni a los 800 euros mensuales (799 euros de promedio mensual), siendo Aragón (782,65 euros de media) y Madrid (783,95 euros) las dos autonomías donde se han cobrado las nóminas más bajas de toda España y se quedan, por tanto, por debajo de esos 799 euros en que se sitúa el promedio nacional.
Consulta PDF a tamaño completo. Pensiones no contributivas por CCAA

Por el contrario, las comunidades autónomas con los mayores importes medios de esta clase de pensiones son Castilla y León, con 887,95 euros sumando las dos pagas; Murcia (809,34 euros de promedio) y Andalucía (con un importe mensual de 805,93 euros). Como dato curioso, las cifras oficales del Imserso constatan que únicamente hay dos provincias en las cuales los pensionistas no contributivos han cobrado más de 1.000 euros de media: se trata de Palencia, donde han recibido 1.322,10 euros en promedio, y Segovia, con 1.095 euros de media.
Andalucía y Cataluña concentran 35 de cada 100 no contributivas

Fuente: Imserso
De las 450.767 pensiones no contributivas existentes, el 21,25% de ellas se pagan en Andalucía, con un total de 95.768 prestaciones de este tipo en esa comunidad, según las cifras oficiales del Imserso. La segunda autonomía con mayor número de perceptores es Cataluña, donde se cobran el 13,53% de esta clase de prestaciones, que suman 60.996 en números redondos. Así pues, entre estas dos regiones concentran 35 de cada 100 pensiones no contributivas concedidas en España.
La Comunidad Valenciana es la tercera en número de beneficiarios no contributivos, con 48.927 pensiones no ligadas a cotizaciones, que suponen casi el 11% de las existentes.
Requisitos para acceder a estas pensiones
Estos son los requisitos que han de cumplir las personas que opten a una pensión no contributiva:
-No contributiva de jubilación
-Tener cumplidos 65 años o más.
-Pueden solicitarla españoles y extranjeros.
-Pueden haber cotizado o no a la Seguridad Social.
-Acreditar 10 años de residencia en España (dos de ellos, consecutivos e inmediatamente anteriores a la fecha de solicitud).
-Justificar que se carece de ingresos suficientes: para 2020, las rentas o ingresos no deben superar los 5.538,40 euros anuales.
-No contributiva de invalidez
-Personas entre 18 y 65 años de edad, en situación de invalidez y en estado de necesidad.
-Grado de discapacidad igual o superior al 65%.
-Carecer de ingresos suficientes: como máximo, 5.538,40 euros anuales.
-Españoles y extranjeros. Exigencia: residir en territorio español al menos 5 años (2 de ellos, consecutivos e inmediatamente previos a la fecha de solicitud de la pensión).
-Personas que hayan cotizado o no a la Seguridad Social.
Mujer entre 70 y 79 años, perfil tipo del jubilado no contributivo
Las estadísticas del Imserso no dejan lugar a dudas: los titulares de las pensiones no contributivas de jubilación son predominantemente mujeres españolas, casadas, entre los 70 y los 79 años y que conviven en una unidad familiar de dos/tres miembros.
En cuanto al pensionista tipo más frecuente de invalidez, se trata de una persona española, que convive en una unidad económica integrada por dos/tres personas y con un grado de discapacidad del 65%-74%, aunque en función de la edad y del sexo, es posible distinguir entre el pensionista tipo varón, soltero, menor de 45 años, y la mujer casada, con edad superior a 45 años, que presentan preferentemente discapacidades psíquicas.
