Varios estudios aseguran que las personas vacunadas contra el Covid-19 contagian menos
Es necesario desarrollar vacunas que eviten la infección
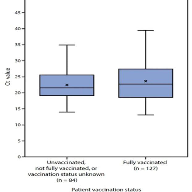
Los Centros para el Control y la Prevención de Enfermedades de Estados Unidos emitieron el 6 de agosto una recomendación sobre seguir manteniendo las mascarillas en interiores. Tal y como explica The Conversation, en el informe se confirma que los vacunados y los no vacunados tienen la misma carga viral en sus vías respiratorias. Desde que esta recomendación se hace pública, son muchas las personas que han aprovechado para arremeter contra las vacunas.
En el informe, la agencia muestra un estudio llevado a cabo con datos del estado de Massachusetts, en el que analizaban a 469 personas contagiadas de Covid-19 en ese estado, y de las cuales el 74% ya estaban vacunados.

The Conversation explica como en el gráfico puede verse que, en el grupo de vacunados se observa la misma cantidad de virus en la garganta y vías altas que en las personas no vacunadas. En otras palabras, tienen cantidades similares de carga viral.
Una de las conclusiones de las que se han hecho eco muchos medios es que las personas vacunadas y las no vacunadas contagian igual, pero esto no es exactamente así.
La carga viral y la contagiosidad
A día de hoy, los principales procedimientos ara detectar el virus SARS-COV-2 son las técnicas moleculares de detección de ARN del virus a través de la tecnología de RT-PCR y los test de detección de proteínas y antígenos virales, según cuentan en The Conversation.
- En lo que se refiere a la técnica RT-PCR son muchas las publicaciones que explican que el valor Ct o la carga viral relativa a nivel individual, no puede predecir la transmisibilidad del virus.
- Los test de antígenos por su parte, tienen como principal limitación el porcentaje tan elevado de falsos negativos (que además podría seguir aumentando con las nuevas variantes), durante el periodo de incubación o el estado presintomático del paciente, según muestran datos recientes.
En The Conversation cuentan como en una de las últimas revisiones analizan si estas dos técnicas pueden predecir la inefectividad de este virus:
- La conclusión es que, de momento no podían predecir por si solas la capacidad de contagio del paciente.
- Es necesario establecer un contexto clínico ligado a los síntomas, y al tiempo de evolución para informar cuando pueden interrumpir el aislamiento los pacientes con coronavirus.
- Al mismo tiempo, hay que desarrollar un método rápido y sensible para detectar el virus, y así poder identificar más fácilmente a las personas asintomáticas y presintomáticas, que aunque tengan una carga viral baja aún puede ser infecciosa. Los resultados de momento son esperanzadores y se han obtenido con muestras de salida.
Nuevas vacunas
Las vacunas actuales están diseñadas para evitar que enfermemos en caso de que nos contagiemos, pero no para evitarlo.
Por eso desde el CSIC están desarrollando una vacuna que evite la infección. La vacuna en cuestión sería intranasal, que neutralizaría el patógeno antes de entrar en el cuerpo.
La empresa China, CanSino también está estudiando la eficacia de su vacuna aerosolizada.
Pero esto no quiere decir que las vacunas actuales no sean eficaces, ya que está demostrado que generan anticuerpos.
¿Contagian igual los vacunados y los no vacunados?
The Conversation recuerda que las vacunas no han sido diseñadas para prevenir la infección, sino para hacer menores sus síntomas:
- El Instituto Pasteur publicó recientemente un estudio donde aseguran que aquellas personas que no han sido vacunadas tienen un riesgo 12 veces mayor de contagiar que las que si se han vacunado.
- En Estados Unidos, 204 sanitarios que trabajan con pacientes covid, y dieron positivo participaron en un estudio, que volvió a demostrar la eficacia de las vacunas.
- También el Imperial College de Londres, donde la variante delta es mayoritaria, las personas vacunadas con las dos dosis mostraron una reducción del 50-60 % del riesgo de infección frente a los no vacunados.
- En España un estudio entre el persona sanitario demostró que el riesgo con la pauta completa se redujo en un 80-90%.
- Por último, en Holanda, concluyeron que la efectividad de la vacuna contra la transmisión es del 70%.
En otras palabras, las personas vacunas son mucho menos contagiosas que las que no se vacunan.

